服务热线
18501696120
更新时间:2026-01-03
浏览次数:165次
更多推荐2026-02-12
2026-02-12
2026-02-12
2026-02-11
2026-02-11
2026-02-10
2026-02-10
2026-02-10
2026-02-10
2026-02-10
在透皮给药制剂研发中,体外皮肤渗透实验是常用的实验操作。由于人体皮肤获取困难且存在伦理争议,动物皮肤常作为替代模型。但动物皮肤的厚度差异是否会影响药物渗透结果?这一问题直接关系到实验数据对人体吸收的预测价值。Hiroyuki Takeuchi研究团队以SD大鼠和尤卡坦微型猪(YMP)为模型,系统探究了皮肤厚度对三种不同理化性质药物透皮渗透性的影响,为透皮给药研究提供了重要参考。相关研究成果发表在《Biological and Pharmaceutical Bulletin》。
研究背景
为什么关注离体皮肤模型厚度
皮肤并非均质膜,由角质层(SC)、活性表皮和真皮(VED)等组成。角质层长期被视为药物透皮的主要屏障,但近年研究发现,活性表皮和真皮也能显著影响药物渗透。OECD指南虽建议体外实验避免使用厚度超过1mm的皮肤,却未明确皮肤厚度与药物渗透性的量化关系。
此前研究已证实,SD大鼠和尤卡坦微型猪皮肤的渗透稳定性优于人体皮肤,且微型猪皮肤渗透特性与人体更接近。本研究进一步聚焦“皮肤厚度"这一变量,选用三种代表性药物——亲水性的尼可地尔(NR)、亲脂性的硝酸异山梨酯(ISDN)和高亲脂性的氟比洛芬(FP),旨在明确皮肤厚度对药物渗透的影响规律,为体外实验皮肤模型选择提供依据。
实验设计
1. 药物选择与检测方法
三种药物的理化性质差异显著,覆盖不同透皮特性,具体参数如下:

采用改良Franz扩散池进行体外渗透实验,接收液为蒸馏水或pH7.4磷酸盐缓冲液,保持32℃恒温搅拌。通过LC-MS/MS检测NR和FP浓度,HPLC-UV检测ISDN浓度,计算稳态渗透速率(J)、滞后时间(t)和电阻比(Rved/Rtot)等实验参数。
2. 实验材料与模型制备
选用8周龄雄性SD大鼠和5月龄雌性尤卡坦微型猪的背部皮肤,制备四种皮肤样本:完整皮肤、真皮分离皮肤(仅保留部分真皮)、去角质层皮肤(胶带剥离10-30次)、去角质层+真皮分离皮肤。通过电动皮肤切片机控制厚度,大鼠皮肤厚度设为0.4、0.9、1.2mm三个梯度,微型猪皮肤设为0.4、0.9、1.8、2.8mm四个梯度,所有样本均经厚度计测量。


ASCH VAPOSCAN经皮水分流失测量仪
实验结果:皮肤厚度的影响规律
1. 渗透速率与滞后时间:厚度越厚,渗透越难
两种动物皮肤均呈现一致规律:随着皮肤厚度增加,三种药物的渗透速率显著下降,滞后时间明显延长,且微型猪皮肤的变化幅度更大。
大鼠皮肤实验中,完整皮肤(1.2mm)的药物渗透速率仅为0.4mm真皮分离皮肤的78%-84%,而滞后时间却延长3.6-110倍,其中高亲脂性的FP滞后时间变化显著。剥离角质层后,皮肤厚度的影响更突出——1.2mm去角质层皮肤的NR渗透速率仅为0.4mm去角质层+真皮分离皮肤的21%。

尼可地尔(NR)、硝酸异山梨酯(ISDN)和氟比洛芬(FP)通过完整(Intact)、真皮分离(Split)、去角质层或去角质层 + 真皮分离大鼠皮肤的累积量时间曲线(皮肤厚度:0.4、0.9 或 1.2 mm)
微型猪皮肤的变化更具研究参考价值:2.8mm完整皮肤的NR、ISDN、FP渗透速率分别为0.4mm真皮分离皮肤的44%、49%、36%,且差异均具统计学意义。滞后时间方面,完整皮肤的FP滞后时间是0.4mm皮肤的4.3倍,亲脂药物对厚度变化更敏感。

尼可地尔(NR)、硝酸异山梨酯(ISDN)和氟比洛芬(FP)通过真皮分离(Split)、完整(Intact)、去角质层 + 真皮分离或去角质层尤卡坦微型猪(YMP)皮肤的累积量时间曲线(皮肤厚度:0.4、0.9、1.8 或 2.8 mm)
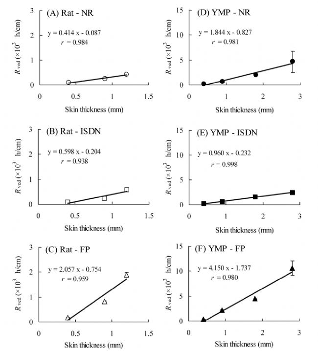
2. 电阻特性:真皮厚度决定活性层屏障作用
皮肤电阻与渗透能力负相关,R(总电阻)=R(角质层电阻)+R(活性表皮+真皮电阻)。研究发现,R与皮肤厚度呈强正相关(相关系数r≥0.938),且微型猪皮肤的R增长斜率更大。
Rved/Rtot比值(活性层电阻占总电阻比例)揭示了规律:微型猪皮肤中,亲脂药物(ISDN、FP)的该比值显著高于亲水性NR,且随真皮厚度增加而上升。2.8mm完整微型猪皮肤的FP比值达52.5%,意味着真皮已成为亲脂药物透皮的主要屏障之一;而大鼠皮肤中该比值高仅29.9%,说明其真皮屏障作用较弱。

NR、ISDN和FP的电阻值与角质剥离皮肤,角质剥离/分割大鼠皮肤厚度及YMP小型猪皮肤厚度的关系。

ASCH AS-TZ1经皮电阻测试仪

Labodorf 850C皮肤角质量测试仪
哪种皮肤模型更适合透皮实验
1. 动物模型选择:微型猪皮肤的厚度影响规律与人体更接近,尤其亲脂药物的渗透特性,比大鼠皮肤更适合作为人体透皮实验的替代模型。
2. 皮肤厚度标准:0.4mm真皮分离皮肤(薄真皮)的实验结果更适合预测人体经皮吸收速率。这是因为人体皮肤中药物在真皮深层(约0.2mm处)即被毛细血管吸收,过厚的真皮会夸大体外渗透阻力,导致结果偏差。
3. 药物特性考量:亲脂性药物对皮肤厚度更敏感,研发这类药物的透皮制剂时,需严格控制实验皮肤厚度一致性,避免因厚度差异导致的实验误差。
结论
皮肤厚度是影响药物体外透皮渗透性的重要变量之一,尤卡坦微型猪皮肤的厚度响应规律与人体更接近,亲脂药物受厚度影响更显著。为精准预测人体经皮吸收速率,透皮给药体外实验应优先选用0.4mm厚的真皮分离皮肤。这一结论为透皮制剂研发提供了标准化实验依据,有助于减少动物实验误差,加速透皮药物的研发进程。
参考文献
1. Takeuchi H, Ishida M, Furuya A, Todo H, Urano H, Sugibayashi K. Influence of skin thickness on the in vitro permeabilities of drugs through Sprague-Dawley rat or Yucatan micropig skin. Biol Pharm Bull. 2012;35(2):192 -202. doi.org/10.1248/bpb.35.192
2. Maghraby G M E , Barry B W , Williams A C .Liposomes and skin: From drug delivery to model membranes[J].European Journal of Pharmaceutical Sciences Official Journal of the European Federation for Pharmaceutical Sciences, 2008, 34(4-5):203-222. doi.org/10.1016/j.ejps.2008.05.002
返回列表